2025高考数学五套试卷真题解析汇总,考生速看对照估分
新高考一卷适用11个省份
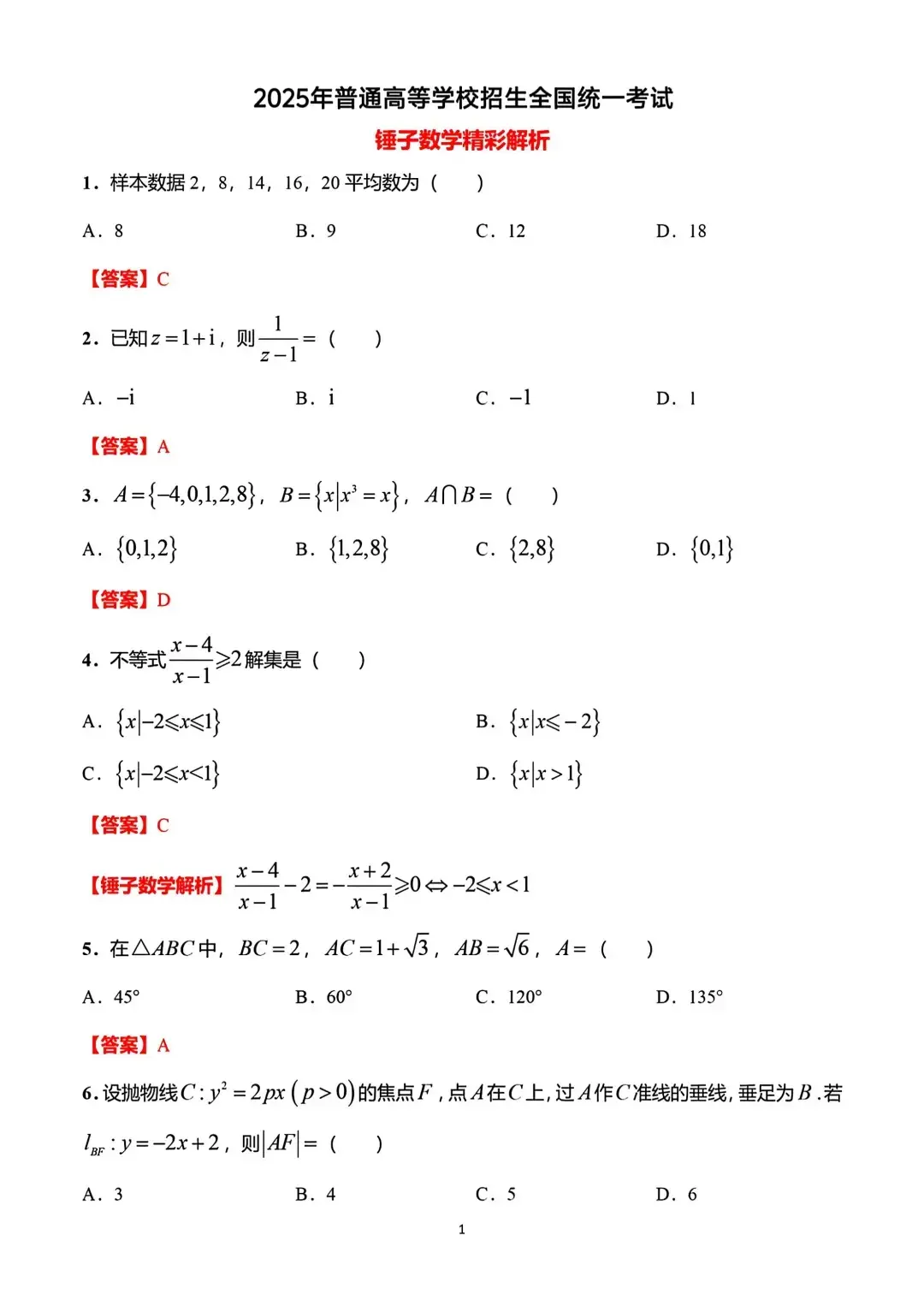
6月7日下午,完成这份试卷的是浙江、山东、广东等11个省份那于2025年已经结束新高考一卷数学考试的考生,从考生给出的反馈来看,试卷整体难度处于适中状态,其中函数与导数大题处于第18题位置,考查的是含参讨论。
让部分考生感到棘手的是第19题数列新定义题,选择题第8题考查球体内切问题,其计算量适中,我们已整理完整试卷以及答案解析,考生可逐题对照着估算自身的得分情况,在解析里每道题都配有详细的步骤说明用以帮助对解题思路的理解。
新高考二卷覆盖17个地区
新高考二卷被使用的范围极其广泛,其中涵盖了海南,以及重庆,还有四川,另外包括云南等17个省份。这套试卷着重于对基础知识展开考查,解答题的前三道题目对应相对常规。第15题所考查的是三角恒等变换与解三角形,大多数考生反馈称较为容易上手。
第20题之内的概率统计二者合并以及实际生活情境相关的内容,就针对条件概率以及期望计算展开了相应考查。第21题的相关解析几何里的设问显得新颖,这就需要灵活去运用韦达定理。我们所提供的答案解析不但给出正确答案,而且还总结了各类题型的解题技巧,以此帮助考生能够举一反三。
北京卷突出城市特色
北京卷数学考试是在6月7日的下午开展的,其考试的时长为120分钟。试卷维持了北京卷一直以来的风格,选择题的最后一道题目是以北京中轴线申遗作为背景的,考题考查了数列跟传统文化相互结合的内容。第15题的填空题设置了多个结论判断项,这就要求考生要仔细地去辨析。
第19题的解答题里的导数题设计得极为巧妙,第二问要通过构造函数来证明不等式。第21题作为压轴题,是以集合新定义的形式呈现的,考查的是逻辑推理能力。当下,我们依据考生的回忆整理了一部分试题,完整版的试卷以及答案解析正在紧锣密鼓地制作当中。
天津卷注重计算能力
在6月7日下午开考的是天津卷数学考试,考生们普遍反馈试卷的计算量比较大 ,特别是第14题的填空双空题 ,该题涉及分段函数与零点问题 ,做这道题需要分情况展开讨论 ,第18题的立体几何考的是折叠问题 ,此问题对空间想象能力提出了较高要求。
在第20题那里,导数压轴题设有三个小问,它们是层层递进的。其中,第一问是求切线方程,这一问相对比较简单些,第二问是要证明不等式,做这个得构造恰当的函数,第三问是恒成立问题,解决它需要分离参数。而答案解析里特别着重强调了计算过程当中的易错点,以此来帮助考生避开常见的失误。
上海卷强调思维深度
语文考试安排在6月7日上午 ,数学考试安排在这个6月7日的下午。试卷有着总共21道题目 ,里面既有填空题 ,又有选择题 ,还有解答题。第12题是填空题 ,它是以向量作为背景来考查最值问题的 ,解法灵活多样。第16题是选择题 ,考查的是充分必要条件 ,需学生对概念的理解达到透彻的程度。
具有较高综合能力要求的第21题压轴题的解答之时,是以解析几何作为背景的,并且结合了数列放缩,上海卷答案解析是注重思路引导的,这思路引导不但给出了标准解法,而且还提供了多种能够供做参考的解题路径,参加考试的考生在考试结束之后可以通过官方渠道去核对最终版试卷。
只是人生一个节点的高考,考完数学后,不论发挥怎样都已成为定局。接下来,要保管好准考证,6月下旬各省会陆续公布成绩与分数线。在等待成绩期间,建议提前去了解心仪院校及专业,以便为志愿填报做好准备。碰到“提前查分”“内部补录”等诈骗信息时,务必保持警惕。考后的这个假期时间很长,你打算怎样去安排自己的时间?欢迎在评论区分享你的暑期计划,点赞并收藏本文方便后续对照答案。





























